Skip to content Skip to sidebar Skip to footer

38 service coupon for tally

Tally Software Services: Implementation, Upgrade, Renewal & Add-ons Tally Software Services (TSS) is a software subscription for a collection of services which add great value to your TallyPrime by giving you the latest developments in technology and statutory laws. Continuous product upgrades and Updates, connectivity driven functionalities such as online data exchange between your branches, remote access ... Renew TSS for Tally.ERP 9 - TallyHelp Renew TSS from Tally.ERP 9 To renew TSS from Tally.ERP 9 1. Go to Gateway of Tally > F12: Configure > Licensing > Renew TSS . 2. Enter the billing details in the TSS Renewal screen. 3. Select the Payment method from the List of Payment Methods .

Renew TSS for Tally.ERP 9 - TallyHelp Enter the billing details in the TSS Renewal screen. 3. Select the Payment method from the List of Payment Methods . 4. Press Enter . The TSS Renewal screen appears as shown below: 5. Press Enter to renew your TSS subscription. A confirmation message appears once your TSS subscription is renewed.

Service coupon for tally

Service coupon for tally

Tally TSS Renewal Online | Tally TSS Renewal Price India | Tally ... Tally Prime Renewal & Tally Prime New - Silver Edition (Single User) & Gold Edition (Multi User) Tally Prime Renewal - Silver Edition (Single User) Single user edition for Standalone PCs INR 3,600 + 18% GST (INR 648) Renew Now Tally Prime Renewal - Gold Edition (Multi User) Multiple user edition for multiple PCs INR 10,800 + 18% GST (INR 1,944) Toyota Service Coupons and Discounts | Toyota Owners at your Local Toyota Dealer by City. No matter where you live, there we are. Click below to find your closest Toyota Dealer and download special offers and discounts on oil changes, brakes, alignments and more in your area. We work closely with our dealer partners to bring local service coupons right to your doorstep and keep you moving forward. › reviews › dealdashDealDash Reviews - 4,280 Reviews of Dealdash.com | Sitejabber 4,471 reviews for DealDash, 4.3 stars: 'Take your time, pick your auction. Dr. Richard Gerhauser, M. D. is one of the most innovative minds in medicine today. In addition to being a board-certified medical doctor, Dr. Gerhauser has earned two master's degrees and has served as a clinical assistant professor at the University of Arizona. He spent more than a decade as a private physician at the ...

Service coupon for tally. autospurgo.roma.itRefrigerator Flashing Whirlpool Lights Led Search: Whirlpool Refrigerator Led Lights Flashing. The only complain i have that I was told this led light would last for a long time but its died twice and the Whirlpool refrigerator is only two years old IcetechCo W10515057 3021141 LED Light compatible for Whirlpool Refrigerators WPW10515057 AP6022533 PS11755866 1 YEAR WARRANTY This is shown on the service sticker of your Whirlpool ... 50% OFF Tally Coupons, Discount Codes & Deals 2022 The best discount for Tally, for now, is up to 30% OFF. Shoppers can save an average of 25% when using our exclusive Coupon code. When does Tally release their latest coupon codes? According to our records, lately we have discovered a new discount code on September 2022 for meettally.com. Calibear Capucinne Crown Jewelers IMEI GURUS ECOSUSI Business Software for SMBs in India | Tally Solutions Tally is a technology & innovation company, delivering business software for SMBs for over 3 decades. Download the All-new TallyPrime. Easier, More flexible, Simply better!! Toll Free 1800 309 8859 / +91 80 25638240; ... Using TallyPrime's fully connected service, you can generate e-way bills and e-invoices instantly for a single invoice or ... formswift.com › receipt-templateFree Receipt Template | Download & Print | PDF - FormSwift Common Receipt Types. When making any major purchase or tendering money for just about any reason, it is a wise move to ask for a receipt. It simply makes sense to have a record showing what the money was tendered for, to whom, and when.

Tally Coupons, Promo Codes & Offers 2022 What's today best Tally coupons? With 3 currently available coupons. We found today's best deal - Exclusive: Get Offers Upto £300 on Manchester Court Student Accommodation at Unilodgers (Site-wide-Discounts) How often does Tally issues new coupons? According to our data, they have published a new coupon on 13 Sep, 2022. How to find new Tally ... Replied App: RSVP Text Message Invite App Service for An Event, … As simple as sending a text. Texting makes it easier for your guests to respond to your RSVPs, allowing you to get your responses faster. Send a text message to 903-402-7347 to start your demo RSVP.. Set up my event now 30% OFF Tally Coupon Code | Discount Code 2022 - ScoopCoupons 30% OFF Tally Coupons & Promo Codes 2022. 30% OFF. Tally. Coupons & Promo Codes 2022. Buy more in less! Let's think of big savings with our exclusive Tally Coupon Code. Here you will explore the collection of best offers & coupons available on the internet. Our coupon will help you save a lot of fortune on your online shopping. Click Counter - Double Click Test for Mouse Amble Tally Click Counter. This amazing tool is a common model of the tally counter, which is perfect for calculating almost everything including the number of persons who entered a building and your child’s baseball game score. This instrument is not complex, but a highly efficient one that calculates up to the number 9,999.

Democrat/GOP Vote Tally on 1964 Civil Rights Act - WSJ Dec 31, 2002 · DSW: 30% off women's sneakers - DSW coupon code; Wayfair: Up to 15% off + free shipping at Wayfair; Nike: 60% off running shoes and apparel at Nike; The Home Depot: $50 discount sitewide - Home ... Tally Invoice Format Excel Download - Excel TMP Apr 24, 2017 · The tally invoice format in excel has a straightforward design and structure that is straightforward and utilize. The layout can be downloaded in PDF arrange and utilized by taking printed duplicates of the same. The sections incorporated into the configuration are straightforward and have alternatives to specify each moment of insight ... Auto Service Specials Hayward | Fremont Hyundai Discover the wide range of Hyundai service coupons on offer at our Fremont service center! Saved Vehicles . Sales: Call sales Phone Number (510) 248-0005. 43690 Auto Mall Circle, Fremont, CA ... $50 to Help Pay Your Credit Card - Tally | Groupon Get $50 to help pay off your credit cards when you sign up for Tally. Just download the app and register your credit cards, and Tally will make a $50 payment for you. This offer is only available to new Tally customers.

20 Ways Couponing Has Changed in the Last 10 Years - The ...

20 Ways Couponing Has Changed in the Last 10 Years - The ...

SAC Codes: SAC Code 9954 & SAC Code for Job Works - Tally Aug 24, 2021 · SAC stands for Service Accounting Code also called as SAC Code is a claffication system by Service Tax Department. Read on to know varios SAC code including SAC Code 9954. ... Tally is India's leading business management software solution company, which today enables more than 2 million businesses worldwide. Read More>> Our Products.

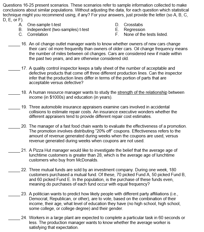
Solved Questions 16-25 present scenarios. These scenarios ...

Solved Questions 16-25 present scenarios. These scenarios ...

Get Best Coupons & Promo Codes, Coupon Code on Tally - Hostingcharges.in Today's Top Tally Solutions Discount Codes & Deals SALE Tally - 7 Days Trail on Tally product Limited Time Sale! Take 7 days Trail on before buy the product Get Deal View Deal SALE Tally - ERP 9 Starting at Just Rs.18000 Limited Time Sale! Single user edition for Lift time Get Deal View Deal SALE Tally - DEVELOPER 9 - Starting Price Rs.9000/y

Capital One Shopping - Apps on Google Play

Capital One Shopping - Apps on Google Play

Service Specials | East Bay BMW East Bay BMW | A Hendrick Automotive Group Dealership. |. Certified Center. 4350 Rosewood Drive Directions Pleasanton, CA 94588. Sales: 844-361-5467. Service: 844-361-5467. Parts: 844-361-5467. We Want to Buy Your Car! Get Your KBB Instant Cash Offer Now.

20% OFF (+2*) Discover Tally IN Discount Codes Sep 2022 ...

20% OFF (+2*) Discover Tally IN Discount Codes Sep 2022 ...

4 Tally Coupons & Promo Codes | Sep 2022 - Slickdeals Most Popular Tally Promo Codes & Sales Coupons For Popular Stores . Get Offer Coupon Take $10 Off Moisturizer with Promo Code Coupon Verified! 7 Ways To Save Using Babo Botanicals discounts . Get Offer Coupon Take 30% Off Step & Repeat Displays w/ Coupon Code Coupon Verified! 10 Ways To Save Using Banner Buzz coupons . Get Offer Coupon

Coupon Marketing: How to design a Coupon Ad for an Auto Shop ...

Coupon Marketing: How to design a Coupon Ad for an Auto Shop ...

› miamiCBS Miami - Breaking News, NEXT Weather & Community Journalism Latest breaking news from WFOR-TV CBS Miami. Dodgers edge Marlins 2-1 for 34th come-from-behind win Will Smith's fielder's choice-grounder scored Mookie Betts with the go-ahead run in the eighth ...

Chevy Service Coupons | Discounts & Offers | Springfield, MO

Chevy Service Coupons | Discounts & Offers | Springfield, MO

Late tally downs Central men’s soccer side | Pella | oskaloosa.com Sep 06, 2022 · NORTHFIELD, Minn. — St. Olaf College (Minn.) scored the only goal of the match with less than three minutes left on the clock to snatch the 1-0 win against the Central College men’s soccer team Monday afternoon. Central’s (1-0-1) defense withstood a barrage all night against the Oles (2-1-0 ...

New York City Board of Elections Needs an Overhaul, Top ...

New York City Board of Elections Needs an Overhaul, Top ...

Service Coupons | Bill Talley Ford | near Tuckahoe, VA Offer valid with coupon. Expires 12/31/22. Expires: 12/31/22 Print Motorcraft® Tested Tough® PLUS Batteries, $119.95 MSRP, or redeem 22,000 FordPass® Rewards Points. * With 24-month battery replacement warranty. Join FordPass Rewards today by downloading the FordPass App. ** Members earn 10 Points per $1 spent on service visits. *With exchange.

Renew TSS for Tally.ERP 9

Renew TSS for Tally.ERP 9

Tally App Review - CNBC Mar 11, 2022 · Tally Basic is the free version Tally, providing users with access to a credit line with a low APR. Tally+ offers users a larger credit line, than they would get with Tally Basic, and a discounted ...

Austin Printing Card Register Tally Sheets Item 0420 Box of 490 count

Austin Printing Card Register Tally Sheets Item 0420 Box of 490 count

Tally WEiJL Coupon Codes - 70% Off - September, 2022 Tally WEiJL 15% Off Coupon, Tally WEiJL 20% Off Coupon, Tally WEiJL 10% Off Coupon, Tally WEiJL Special Offers. Whenever you're at Tally WEiJL and have no idea what to buy next, you should look at our suggested product categories below, especially Apparel & Accessories, Dresses, Jeans. Plus, check out the list of suggested stores and their ...

Finger Tally Counter 5 Digital LED Display for Sports ...

Finger Tally Counter 5 Digital LED Display for Sports ...

› stories › memberpageLiterotica.com - Members - SZENSEI - Submissions Mar 08, 2017 · Room service at a sleazy Motel. Exhibitionist & Voyeur 05/13/17: Monica 27: Micky DDD's (4.67) Monica clowns around under the Golden Arches. Exhibitionist & Voyeur 05/14/17: Monica 28: Licker Store (4.71) There's a Bluebird loose in the Toy Store. Exhibitionist & Voyeur 05/15/17: Monica 29: Four Shame (4.61) The Braless Brigade unite.

LC Career Center (@lccareercenter) / Twitter

LC Career Center (@lccareercenter) / Twitter

tallysolutions.comBusiness Software for SMBs in India | Tally Solutions Tally is a technology & innovation company, delivering business software for SMBs for over 3 decades. Download the All-new TallyPrime. Easier, More flexible, Simply better!!

Kipling Coupons, Discounts & Promo Codes | Kipling USA

Kipling Coupons, Discounts & Promo Codes | Kipling USA

tallysolutions.com › gst › gst-state-code-listGST State Code - State Code List Under GST | Tally Solutions May 13, 2022 · Introduction; GST State Code List of India; Introduction. While migrating to a GST registration or while going for a new registration, most businesses would have received the 15 digit provisional ID or GSTIN (Goods and Services Tax Identification Number).

Editable Custom Printable Kraft Coupon Template Gift - Etsy

Editable Custom Printable Kraft Coupon Template Gift - Etsy

Service Specials - Clawson Honda 2:00-4:00 *Honda vehicles only. Available Monday through Saturday. Plus taxes and fees where applicable. Please present the coupon during write-up. Not to be combined with any other discounts. MUST HAVE COUPON IN HAND at time of write up. Expires 9/30/2022.

ADG Promo Products

ADG Promo Products

Tally Coupons & Promo Codes 2022: $5300 off - Offers.com $5300 Off Average Lifetime Savings of $5,300 Verified Get Offer SALE Tally Tracks Your Due Dates Verified Get Offer SALE Get Your Own Line Of Credit with Tally Verified Get Offer SALE No More High APRs or Late Fees Verified Get Offer SALE Multiple Credit Card Payments Made Easy Verified Get Offer SALE

Specials & Rewards | CARS of America Inc. | Glenview, IL

Specials & Rewards | CARS of America Inc. | Glenview, IL

Renewing TSS for Tally.ERP 9 - TallyHelp 4. Press Enter.The TSS Renewal screen appears as shown below:. 5. Press Enter to renew your TSS subscription. A confirmation message appears once your TSS subscription is renewed. Note: To buy Tally Currency / Service Coupons, contact your Tally partner or Tally Solutions. See also. Upgrading to the Latest Tally.ERP 9 Release

PPT - AUTO PLUS 2013 (Dealership Edition ) PowerPoint ...

PPT - AUTO PLUS 2013 (Dealership Edition ) PowerPoint ...

[100% Off] Tally Prime Erp +Gst 2022 : Certificate Course Check Out These Related Coupons Anti-Money Laundering Concepts: AML, KYC and Compliance $0 Introduction to Forex- learn to trade forex by yourself $0 Financial Accounting Subsidiary Ledgers & Special Journals $0 Bank Reconciliations & Cash Internal Controls $0 Receivables & The Allowance vs The Direct Write Off Methods $0

Amazon.com: Tally Tumbler Golf : Sports & Outdoors

Amazon.com: Tally Tumbler Golf : Sports & Outdoors

Tally Promotional Codes September 2022 - 25% OFF - HotDeals.com Tally Promotional Codes September 2022 - 25% OFF Treat yourself to huge savings with Tally Promo Codes: 3 deals for September 2022. go to meettally.com All 3 Deals 3 For Free Try all Tally codes at checkout in one click. Coupert automatically finds and applies every available code, all for free. Trusted by 2,000,000+ members Verified Get Codes ***

Rally For Tally - Tallahassee Foodies

Rally For Tally - Tallahassee Foodies

Tally Tss Renewal Discount Offer | Tally tss Renewal Price india | Tss ... How to Renew tss in Tally 1.Go to Gateway of Tally > F12: Configure > Licensing > Renew TSS 2.Enter the billing details in the TSS Renewal screen 3.Select the Payment method from the List of Payment Methods NetBanking, Credit/Debit Card. 4.Select the New Sales Partner and Search with New Access Technologies - Bengaluru.

DeviceWell HDS7105 TALLY Guide System Wireless Tally Compat Portable  Traffic Light Indicator Strong Penetration MD1010-MD1011

DeviceWell HDS7105 TALLY Guide System Wireless Tally Compat Portable Traffic Light Indicator Strong Penetration MD1010-MD1011

Excel Formats for Bank Statements - Tally Master Mandatory Details. Sheet name should be as “Bank”.; Header of the sheet should as per the given two types of templates. There should not be any change in the header name, Caps, Small and Space. Header and Data Validations

Tally Books | Fey Promo

Tally Books | Fey Promo

› reviews › dealdashDealDash Reviews - 4,280 Reviews of Dealdash.com | Sitejabber 4,471 reviews for DealDash, 4.3 stars: 'Take your time, pick your auction. Dr. Richard Gerhauser, M. D. is one of the most innovative minds in medicine today. In addition to being a board-certified medical doctor, Dr. Gerhauser has earned two master's degrees and has served as a clinical assistant professor at the University of Arizona. He spent more than a decade as a private physician at the ...

Tally Weijl Discount Codes: Upto 20% Off | July 2022 ...

Tally Weijl Discount Codes: Upto 20% Off | July 2022 ...

Toyota Service Coupons and Discounts | Toyota Owners at your Local Toyota Dealer by City. No matter where you live, there we are. Click below to find your closest Toyota Dealer and download special offers and discounts on oil changes, brakes, alignments and more in your area. We work closely with our dealer partners to bring local service coupons right to your doorstep and keep you moving forward.

Tally Software Services (TSS) in TallyPrime | TallyHelp

Tally Software Services (TSS) in TallyPrime | TallyHelp

Tally TSS Renewal Online | Tally TSS Renewal Price India | Tally ... Tally Prime Renewal & Tally Prime New - Silver Edition (Single User) & Gold Edition (Multi User) Tally Prime Renewal - Silver Edition (Single User) Single user edition for Standalone PCs INR 3,600 + 18% GST (INR 648) Renew Now Tally Prime Renewal - Gold Edition (Multi User) Multiple user edition for multiple PCs INR 10,800 + 18% GST (INR 1,944)

$50 Credit Toward Debt Repayment - Tally | Groupon

$50 Credit Toward Debt Repayment - Tally | Groupon

TALLY WEiJL Coupon, Promo Codes: 45% Off - September 2022

TALLY WEiJL Coupon, Promo Codes: 45% Off - September 2022

1 BEST | REFRIGERATION, HEATING AND COOLING | TALLAHASSEE ...

1 BEST | REFRIGERATION, HEATING AND COOLING | TALLAHASSEE ...

Athletic Fundraisers - Notre Dame Academy Catholic All-Girls ...

Athletic Fundraisers - Notre Dame Academy Catholic All-Girls ...

Tally Coupons & Promo Codes 2022: $5300 off

Tally Coupons & Promo Codes 2022: $5300 off

65% OFF TALLY ERP 9 (19 Coupons), Discount & Promo Codes 2022

65% OFF TALLY ERP 9 (19 Coupons), Discount & Promo Codes 2022

Volvo Service Specials Lisle, IL | Service Coupons & Discounts

Volvo Service Specials Lisle, IL | Service Coupons & Discounts

Johnson's Sewing Centre - Our BIGGEST SERVICE COUPON ever ...

Johnson's Sewing Centre - Our BIGGEST SERVICE COUPON ever ...

AVMATRIX TS3019 Wireless Multi-Camera Tally System PTZ Remote control 200m  Transmission pk naya BS340 pk DeviceWell AVS7105

AVMATRIX TS3019 Wireless Multi-Camera Tally System PTZ Remote control 200m Transmission pk naya BS340 pk DeviceWell AVS7105

Tally TSS Renewal Online | Tally TSS Renewal Price India ...

Tally TSS Renewal Online | Tally TSS Renewal Price India ...

$50 Credit Toward Debt Repayment - Tally | Groupon

$50 Credit Toward Debt Repayment - Tally | Groupon

Baby Showers - Baby Shower Game: What's In Your Purse

Baby Showers - Baby Shower Game: What's In Your Purse

All Tally Books | Fey Promo

All Tally Books | Fey Promo

Ford Auto Service Specials in Zelienople near Butler PA ...

Ford Auto Service Specials in Zelienople near Butler PA ...

Printable Emoji Reward Coupons for Kids Kid Reward Coupons - Etsy

Printable Emoji Reward Coupons for Kids Kid Reward Coupons - Etsy

Tally promo code, coupons: Get 50% off Tally Pro for 1 year ...

Tally promo code, coupons: Get 50% off Tally Pro for 1 year ...

Post a Comment for "38 service coupon for tally"